下载亦如茶APP
即刻开启您的茶社交之旅,在方寸屏幕间,遇见千年茶韵与现代生活的完美交融。
茶友圈 茶道知识库 茶艺师 茶企茶商茶馆 茶叶商城

喝红茶可能降低死亡风险!每天喝两杯或以上的人死亡风险最低

茶道知识库 健康

茶是全球消费量最大的饮料之一。先前的研究表明,在绿茶是最常见茶类型的人群中,茶叶消费与较低的死亡风险之间存在关联。但在以红茶为主要消费类型的人群中,喝茶与死亡风险之间的关联仍然没有定论。

2022年8月30日,美国国立卫生研究院国家癌症研究所Maki Inoue-Choi课题组在Annals of Internal Medicine(IF=52)杂志在线发表题为“Tea Consumption and All-Cause and Cause-Specific Mortality in the UK Biobank”的研究论文。这项前瞻性研究对英国生物银行中近50万名数据分析发现,喝红茶可能与死亡风险降低有关。相对于不喝茶,每天饮用两杯或以上的人死亡风险降低了 9% 到 13%。不仅如此,患有心血管疾病、缺血性心脏病和中风的死亡率也随着茶摄入量的增加而降低。

茶是英国和世界范围内最常饮用的饮料之一,但茶的摄入量是否与总体死亡率或常见死因死亡率相关尚不清楚。作为由植物茶树的叶子制成的提取物,茶含有高浓度的类黄酮和其他具有有益特性的抗氧化剂。由于茶还含有咖啡因,人们对高咖啡因摄入量提出了担忧,特别是在遗传易患咖啡因代谢受损的人群中。从茶叶中提取的类黄酮和其他生物活性化合物,因水温和浸泡时间而异,使用牛奶等添加剂会改变生物活性化合物的浓度;这些差异可能会影响茶消费与死亡率之间的关系。然而,目前没有研究评估茶消费和死亡率之间的关联是否因咖啡因代谢、茶温或添加剂使用的遗传变异而不同。美国国立卫生研究院的研究人员使用来自英国生物银行(The UK Biobank)的数据进行了一项前瞻性研究,研究者利用生物银行中498,043名男性和女性,在 2006 年至 2010 年间完成了基线问卷调查。其中 85% 的人报告经常喝茶,其中 89% 的人报告说喝红茶。相对于不喝茶的人,每天喝 2 杯或更多杯茶的参与者的死亡风险降低了 9% 到 13%。

茶叶消费和全因死亡率的剂量反应关系(图源自Annals of Internal Medicine )

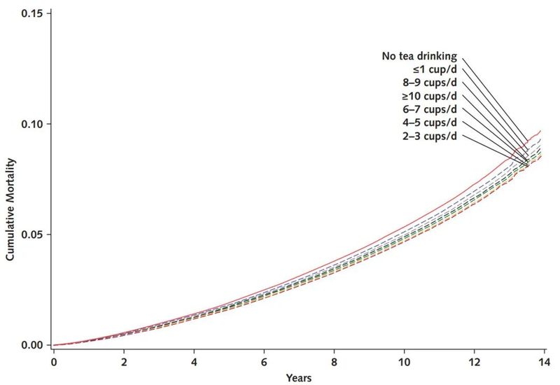
在 11.2 年的中位随访期间,相对于不喝茶,参与者每天喝 1 杯或更少、2 到 3、4 到 5、6 到 7、8 到 9 杯和 10 杯或更多杯的风险比 (95% CI) 分别为 0.95 (95% CI , 0.91 到 1.00), 0.87 (CI, 0.84 到 0.91), 0.88 (CI, 0.84 到 0.91), 0.88 (CI, 0.84 到 0.92), 0.91 (CI, 0.86 到 0.97), 和 0.89 (CI, 0.84 到 0.95) )。与所有心血管疾病、缺血性心脏病和中风的死亡率都呈负相关。无论参与者是否也喝咖啡或咖啡因代谢的遗传变异,结果都是相似的。

按茶叶摄入量调整的累积死亡率曲线(图源自Annals of Internal Medicine )

在210 058 名参与者的24 小时膳食回忆问卷中,分别有 74% 和 13% 的饮茶者报告添加了牛奶和糖。研究者发现,那些在茶中添加牛奶的人中,喝茶与全因死亡率之间存在剂量-反应负相关,而在那些不添加牛奶的人中则没有。无论是否添加糖,较高的茶消费量均与较低的死亡风险相关。不同饮茶温度对死亡风险几乎没有差异。在排除咖啡和其他非茶热饮料饮用者时发现了类似但稍强的相关性。

总之,无论咖啡因代谢的遗传变异如何,每天喝2杯或更多杯茶的人,较高的茶摄入量与较低的死亡风险相关。这些发现表明,即使摄入量较高的茶也可以成为健康饮食的一部分。

茶道 健康
此内容来源于网络,信息贵在分享。如涉及版权问题请与我们联系,我们将第一时间处理。 返回列表